Sign in
  • Home
  • TAIFA STARS
  • SIMBA SC
  • YANGA SC
  • AZAM FC
  • KIMATAIFA
  • BURUDANI
Sign in
Welcome!Log into your account
Forgot your password?
Password recovery
Recover your password
Search
Tuesday, April 21, 2026
  • Sign in / Join
  • Blog
  • Forums
Sign in
Welcome! Log into your account
Forgot your password? Get help
Password recovery
Recover your password
A password will be e-mailed to you.
  • Home
  • TAIFA STARS
  • SIMBA SC
  • YANGA SC
  • AZAM FC
  • KIMATAIFA
  • BURUDANI
Home Uncategorized MABADILIKO MENGINE LIGI KUU BARA YAFANYWA, KUHUSU IDADI YA TIMU, MENGINENO YAKO...
  • Uncategorized

MABADILIKO MENGINE LIGI KUU BARA YAFANYWA, KUHUSU IDADI YA TIMU, MENGINENO YAKO HAPA

By
admin
-
August 22, 2019
0

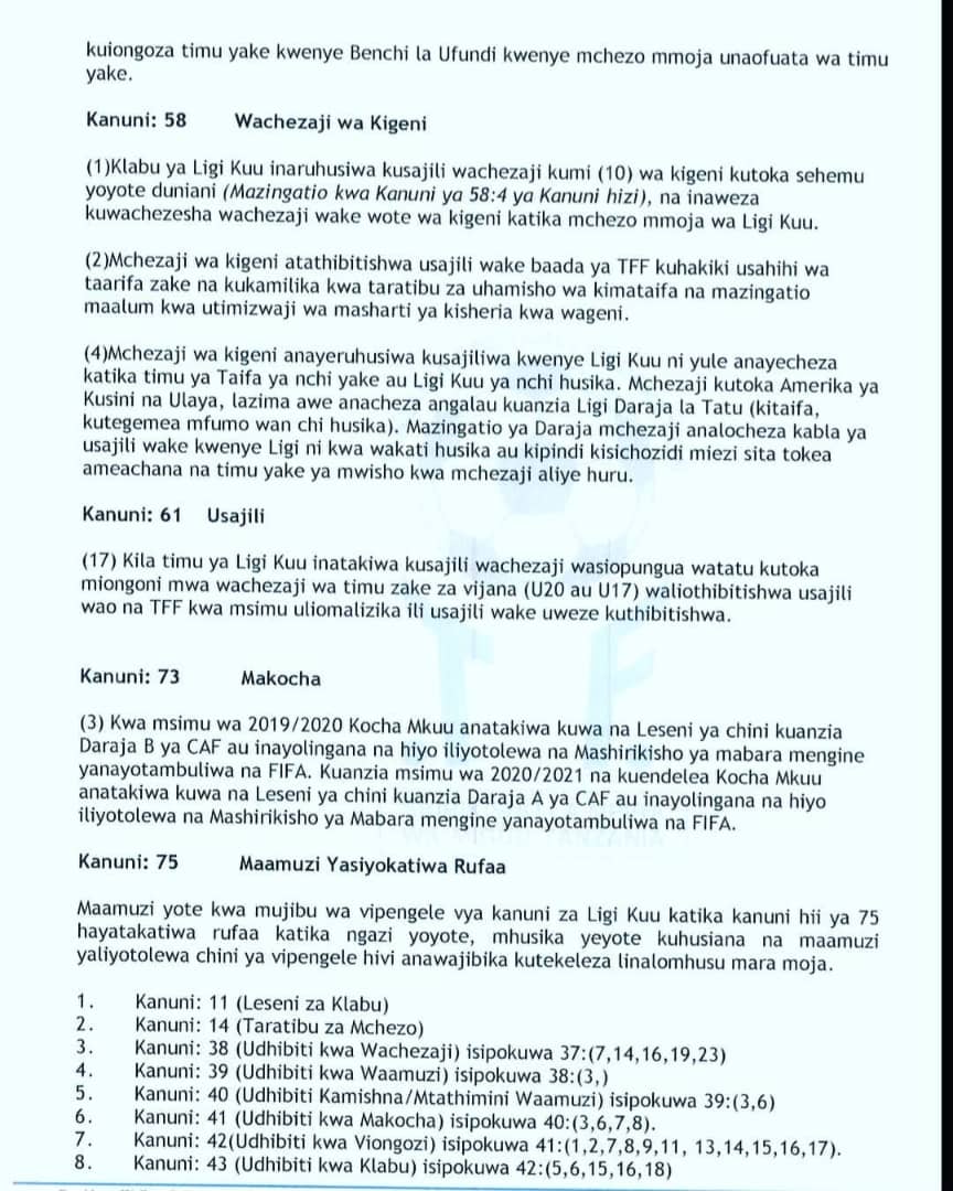
Mabadiliko ya kanuni za Ligi Kuu Bara kuanzia msimu ujao wa Ligi Kuu Tanzania.

Previous articleYULE MKAZI WA DAR ES SALAAM ALIYELAMBA MKWANJA WA SPORTPESA
Next articleFAMILIA YAPINGA MAHAKAMANI WOSIA WA MENGI, MAZITO YAIBUKA
admin
admin
https://sokalabongo.com

RELATED ARTICLESMORE FROM AUTHOR

DEPU AREJEA, YANGA YAMPA MPANGO MAALUM KABLA YA KARIAKOO DERBY

MTANZANIA ATIKISA DUNIA KWA REKODI MPYA BOSTON

BARKER ATOA MSIMAMO MKALI SIMBA, KILA MCHEZAJI KUPAMBANIA NEMBO

LEAVE A REPLY

Log in to leave a comment

329,001FansLike
12,344FollowersFollow
16,900SubscribersSubscribe
FcTables.com

EDITOR PICKS

EHEE..BEKI MPYA YANGA KUMBE NI KIMEO..APIGWA MARUFUKU KECHEZA..

admin - August 20, 2021

KANE APEWA NAFASI KUIBUKIA CITY

admin - September 18, 2021

BAADA YA KUTOSWA NA KMC NA TIMU ZA LIGI KUU KUM’BANIA USAJILI…KASEJA ALAMBA BINGO….SASA...

admin - August 29, 2022

AGREY MORRIS AFUNGUKA PATASHIKA YAKE NA MAYELE…ADAI MPIRA SIO UHASAMA….

admin - April 10, 2022

https://sokalabongo.com/wp-content/uploads/2022/10/soka-la-bongo-logo-300x48-2.png
"SOKA LA BONGO ni Blog namba moja ya habari za michezo nchini na nnje ya nchi, Kwa kupitia Blog hii jihakikishie kuwa wa kwanza kupata matukio yote muhimu ya kimichezo . Endelea Kufurahia SOKA LA BONGO"
Contact us: info@sokalabongo.com

EVEN MORE NEWS

DEPU AREJEA, YANGA YAMPA MPANGO MAALUM KABLA YA KARIAKOO DERBY

April 21, 2026

MTANZANIA ATIKISA DUNIA KWA REKODI MPYA BOSTON

April 21, 2026

BARKER ATOA MSIMAMO MKALI SIMBA, KILA MCHEZAJI KUPAMBANIA NEMBO

April 21, 2026

POPULAR CATEGORY

  • news13047
  • Michezo11090
  • Michezo Bongo11078
  • Habari za michezo10987
  • Michezo Soka la Bongo10931
  • Simba SC7206
  • Disclaimer
  • Privacy
  • Advertisement
  • Contact Us
© Soka la Bongo Online